通知公告
当前位置: 首页 · 通知公告 · 正文
英国365公司2021级专接本及2023级新生名单公示
日期:2023-08-25 信息来源: 点击数:

英国365公司的分班工作已经完成,现将2021级专接本及2023级新生名单予以公示,以下QQ群均属于英国365公司官方群,请同学们尽早进群,加入班级,请大家关注“经贸最青春”官方公众号。

———英国365公司

2023.08.24

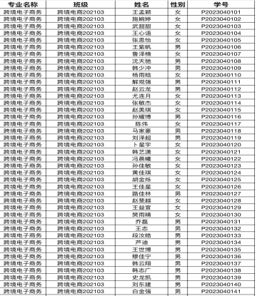
2021级专接本跨境电子商务202103班学生名单

辅导员:刘逸群老师

群号:901218074

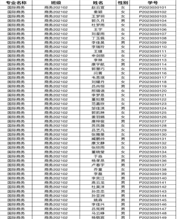
2021级专接本国际商务202102班学生名单

辅导员:康兵老师

群号:529037706

2023级财务管理专业学生名单

辅导员:康兵老师

财管2301、2302班群号:639658374

财管2303班群号:613261517

2023级审计学专业学生名单

辅导员:康兵老师

审计2301、2302班群号:125787355

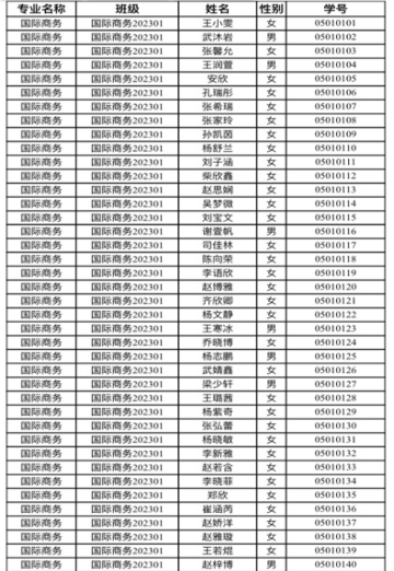
2023级国际商务专业学生名单

辅导员:任冠华老师

国际商务2301班群号:606981054

2023级商务英语专业学生名单

辅导员:任冠华老师

商务英语2301班群号:909728166

2023级经济与金融专业学生名单

辅导员:王馨平老师

经济与金融2301班群号:613949720

2023级跨境电子商务专业学生名单

辅导员:王馨平老师

跨境电子商务2301班群号:914032440

上一条:经贸正青春|华林证券进水院宣讲预告
下一条:经贸正青春丨英国365公司辅导员助理名单公示


联系地址:河北省沧州市运河区黄河西路49号  联系电话:0317-7587161/62  邮编:061001  联系QQ:2489790093 

版权所有©365英国上市(集团|官方网站)有限公司-Official website